Realizar uma pesquisa é uma estratégia fundamental para coletar dados valiosos que podem orientar decisões empresariais, acadêmicas e políticas. No entanto, para que os resultados da pesquisa sejam válidos e representativos, é essencial selecionar uma amostra adequada de respondentes. Neste artigo, exploraremos os passos necessários para conduzir uma pesquisa eficaz com amostras de respondentes, garantindo resultados precisos e úteis.
Veja também: Desvendando o Mundo dos Painéis de Pesquisa de Mercado: Ligação com Painéis de Respondentes
1. Defina o Objetivo da Pesquisa com amostra de respondentes
Antes de iniciar qualquer pesquisa, é crucial definir claramente seu objetivo. O que você espera descobrir? Quais são as perguntas específicas que você quer responder? Ter um objetivo claro ajuda a direcionar todos os aspectos da pesquisa, desde o design do questionário até a análise dos dados.
Definir o objetivo da pesquisa é um passo crucial que serve como alicerce para todo o processo de investigação. Sem um objetivo claro, a pesquisa pode se tornar desorganizada e os dados coletados podem não fornecer as informações necessárias para tomar decisões informadas. Vamos explorar como definir eficazmente o objetivo da sua pesquisa com amostra de respondentes.
1.1. Identifique o Problema ou a Oportunidade
O primeiro passo para definir o objetivo da pesquisa é identificar claramente o problema ou a oportunidade que você está tentando abordar. Pergunte a si mesmo: Qual é a questão central que precisa ser respondida? Por exemplo, uma empresa pode querer entender por que suas vendas estão caindo, ou uma organização sem fins lucrativos pode querer avaliar o impacto de um novo programa.
1.2. Seja Específico em Pesquisa com amostra de respondentes
Objetivos vagos levam a resultados vagos. Portanto, seja específico sobre o que você quer descobrir. Em vez de um objetivo amplo como “entender a satisfação do cliente”, um objetivo específico seria “medir a satisfação dos clientes em relação ao atendimento ao cliente e identificar áreas de melhoria”.
1.3. Estabeleça Questões de Pesquisa
Transforme seu objetivo geral em questões de pesquisa específicas. Essas questões guiarão a elaboração do questionário e a coleta de dados. Por exemplo, se o objetivo é medir a satisfação do cliente, suas questões de pesquisa podem incluir: “Como os clientes avaliam nosso atendimento?”, “Quais aspectos do nosso serviço os clientes mais valorizam?” e “Quais são as principais reclamações dos clientes?”.
1.4. Defina o Escopo das Pesquisa com amostra de respondentes
Determine o escopo da sua pesquisa para manter o projeto gerenciável e focado. O escopo inclui a população-alvo, o período de tempo a ser estudado e os recursos disponíveis. Definir o escopo ajuda a evitar a coleta de dados excessivos que não contribuem diretamente para responder às suas questões de pesquisa.
1.5. Alinhe com os Objetivos Organizacionais
Certifique-se de que o objetivo da pesquisa está alinhado com os objetivos gerais da organização. Isso garante que os insights obtidos serão relevantes e aplicáveis. Por exemplo, se a meta da empresa é melhorar a retenção de clientes, a pesquisa deve focar em entender os fatores que influenciam a lealdade do cliente.
1.6. Documente o Objetivo
Documente o objetivo da pesquisa de forma clara e concisa. Esta documentação servirá como uma referência para todas as etapas subsequentes da pesquisa, garantindo que todos os membros da equipe estejam alinhados e trabalhando em direção ao mesmo objetivo.
1.7. Revise e Ajuste as Pesquisa com amostra de respondentes
Revise regularmente o objetivo da pesquisa à medida que o projeto avança. Às vezes, novas informações ou mudanças no contexto podem requerer ajustes no objetivo inicial. Manter a flexibilidade para ajustar o objetivo conforme necessário é crucial para o sucesso da pesquisa.
Empresa de painel de respondentes online. Como funciona?
Exemplo PráticoImagine que você trabalha em uma empresa de tecnologia que está prestes a lançar um novo aplicativo móvel. O objetivo da pesquisa poderia ser definido da seguinte forma: Objetivo da Pesquisa: Avaliar a aceitação do novo aplicativo móvel entre os usuários-alvo e identificar funcionalidades mais e menos valorizadas. Questões de Pesquisa:
Escopo:
|
Respostas para pesquisas online através de um painel online de respondentes
2. Determine a População-Alvo nas Pesquisa com amostra de respondentes
A população-alvo é o grupo de pessoas sobre o qual você quer obter informações. Pode ser um grupo amplo, como todos os consumidores de um país, ou mais específico, como mulheres entre 30 e 40 anos que vivem em áreas urbanas. Conhecer sua população-alvo é essencial para garantir que a amostra selecionada seja representativa.
Determinar a população-alvo é um passo essencial para garantir que os dados coletados sejam relevantes e representativos do grupo que você deseja estudar. A população-alvo é o grupo específico de indivíduos sobre o qual você quer obter informações. Uma definição clara e precisa da população-alvo ajuda a direcionar a coleta de dados e a obter resultados que podem ser generalizados para o grupo em questão. Vamos detalhar como determinar a população-alvo de maneira eficaz.
2.1. Entenda o Propósito da Pesquisa
O primeiro passo para determinar a população-alvo é entender claramente o propósito da pesquisa. Compreender o que você pretende descobrir ou solucionar com a pesquisa guiará a identificação do grupo de interesse. Por exemplo, se você quer medir a satisfação dos clientes com um produto específico, sua população-alvo será composta pelos usuários desse produto.
2.2. Identifique as Características Relevantes
Defina as características que são relevantes para a sua pesquisa. Essas características podem incluir dados demográficos (idade, gênero, renda), localização geográfica, comportamento de consumo, entre outras. Por exemplo, uma pesquisa sobre hábitos de compra online pode focar em indivíduos que realizam compras pela internet pelo menos uma vez por mês.
2.3. Segmente a População das Pesquisa com amostra de respondentes
Segmente a população-alvo em subgrupos que compartilhem características comuns. Isso pode ser útil para comparar diferentes segmentos dentro da população e obter insights mais detalhados. Por exemplo, em uma pesquisa sobre preferências de mídia, você pode segmentar a população por faixa etária para analisar como o consumo de mídia varia entre jovens e idosos.
2.4. Considere a Acessibilidade
Avalie a acessibilidade da população-alvo. Certos grupos podem ser mais difíceis de alcançar devido a fatores como localização, disponibilidade de contato ou disposição para participar da pesquisa. É importante considerar esses aspectos ao definir sua população-alvo para garantir que você possa coletar dados suficientes e representativos.
2.5. Defina Critérios de Inclusão e Exclusão
Estabeleça critérios claros de inclusão e exclusão para a população-alvo. Esses critérios ajudarão a refinar o grupo de interesse e a evitar incluir indivíduos que não são relevantes para o objetivo da pesquisa. Por exemplo, se você está estudando a eficácia de um medicamento para hipertensão, deve incluir apenas pacientes diagnosticados com hipertensão e excluir aqueles com condições médicas que poderiam interferir nos resultados.
2.6. Utilize Fontes de Dados Confiáveis
Para definir e identificar sua população-alvo, utilize fontes de dados confiáveis e atualizadas. Dados demográficos de censos, registros de clientes, bases de dados de mercado e pesquisas anteriores podem fornecer informações valiosas sobre as características e o tamanho da população-alvo.
2.7. Revise e Ajuste as Pesquisa com amostra de respondentes
Revise regularmente a definição da população-alvo à medida que você coleta dados preliminares. Novas informações podem revelar a necessidade de ajustar sua definição para melhor atender ao objetivo da pesquisa. Flexibilidade é fundamental para responder a novos insights e garantir a precisão da pesquisa.
Exemplo PráticoImagine que uma empresa de alimentos saudáveis quer lançar uma nova linha de produtos orgânicos e deseja entender as preferências do seu mercado-alvo. A definição da população-alvo poderia ser feita da seguinte forma: Objetivo da Pesquisa: Identificar as preferências e hábitos de consumo de alimentos orgânicos entre potenciais consumidores. Características Relevantes:
Segmentação:
Critérios de Inclusão:
Critérios de Exclusão:
|
Pesquisa de mercado com painel online de respondentes
3. Escolha o Tipo de Amostra em Pesquisa com respondentes
A escolha do tipo de amostra é uma das etapas mais críticas na condução de uma pesquisa, pois influencia diretamente a representatividade e a precisão dos resultados. Existem vários métodos de amostragem disponíveis, cada um com suas vantagens e desvantagens. A seleção do método adequado depende do objetivo da pesquisa, das características da população-alvo e dos recursos disponíveis. Vamos explorar os principais tipos de amostragem e como escolher o mais apropriado para sua pesquisa.
3.1. Amostragem Aleatória Simples |
Definição: Cada membro da população tem uma chance igual de ser selecionado.
Vantagens:
- Proporciona uma representação precisa da população.
- Reduz o risco de viés de seleção.
Desvantagens:
- Pode ser difícil de implementar em populações grandes.
- Requer uma lista completa da população, o que nem sempre é disponível.
Quando Usar: Ideal para estudos onde se dispõe de uma lista completa da população e se deseja obter uma amostra representativa sem vieses específicos.
3.2. Amostragem Estratificada |
Definição: A população é dividida em subgrupos homogêneos (estratos), e uma amostra aleatória é retirada de cada estrato.
Vantagens:
- Garante que todos os subgrupos importantes sejam representados.
- Aumenta a precisão das estimativas ao reduzir a variabilidade dentro de cada estrato.
Desvantagens:
- Pode ser complexo e demorado.
- Requer conhecimento prévio detalhado sobre a população.
Quando Usar: Eficaz quando a população tem subgrupos distintos e você quer garantir a representação de cada um deles, como em pesquisas de mercado com diferentes segmentos de clientes.
3.3. Amostragem Sistemática |
Definição: Seleciona-se cada n-ésimo membro da população após um ponto de partida aleatório.
Vantagens:
- Simples e rápido de implementar.
- Adequado para populações grandes.
Disvantagens:
- Pode introduzir viés se houver um padrão na lista da população.
- Menos flexível em comparação com outros métodos de amostragem aleatória.
Quando Usar: Útil quando se tem uma lista ordenada de membros da população e quer-se um método simples de seleção, como em auditorias de qualidade.
3.4. Amostragem por Conveniência |
Definição: Seleciona-se indivíduos que são fáceis de acessar.
Vantagens:
- Rápida e econômica.
- Fácil de implementar.
Desvantagens:
- Alta probabilidade de viés.
- Resultados não são generalizáveis para a população inteira.
Quando Usar: Adequada para estudos exploratórios ou pilotos, onde o objetivo é obter insights iniciais com rapidez e baixo custo.
3.5. Amostragem por Cotas |
Definição: Seleciona-se uma amostra que reflete certas características da população, preenchendo cotas para diferentes subgrupos.
Vantagens:
- Garante a representação de características-chave.
- Mais controlada do que a amostragem por conveniência.
Desvantagens:
- Pode introduzir viés se as cotas não forem definidas corretamente.
- Menos probabilística do que outros métodos.
Quando Usar: Útil em pesquisas de opinião pública e de mercado onde se deseja refletir a composição demográfica da população.
3.6. Amostragem Bola de Neve |
Definição: Os primeiros respondentes indicam novos participantes, formando uma cadeia de amostras.
Vantagens:
- Útil para acessar populações difíceis de alcançar.
- Permite explorar redes sociais ou profissionais.
Desvantagens:
- Pode introduzir viés de seleção.
- A representatividade é limitada às redes iniciais.
Quando Usar: Ideal para pesquisas sobre grupos específicos ou ocultos, como estudos sobre comunidades específicas ou populações marginalizadas.
Painel de Shoppers. O que é? Tipos de painéis e vantagens
Como Escolher o Tipo de Amostra Adequado nas Pesquisa com respondentes
1. Considere o Objetivo da Pesquisa:
- Se você precisa de resultados generalizáveis para toda a população, métodos aleatórios (amostragem aleatória simples ou estratificada) são preferíveis.
- Para estudos exploratórios ou de viabilidade, amostragens por conveniência ou bola de neve podem ser suficientes.
2. Avalie os Recursos Disponíveis:
- Amostras mais rigorosas, como a aleatória simples, podem exigir mais tempo e recursos.
- Métodos como a amostragem por conveniência são mais econômicos e rápidos, mas sacrificam a precisão.
3. Analise a População-Alvo:
- Se a população é homogênea, uma amostragem aleatória simples pode ser suficiente.
- Para populações heterogêneas com subgrupos distintos, a amostragem estratificada é mais adequada.
4. Planeje a Implementação:
- Determine se você tem acesso a uma lista completa da população para métodos aleatórios.
- Considere a logística de contato com os respondentes e a coleta de dados.
Escolher o tipo de amostra correto é fundamental para a validade e a confiabilidade dos resultados da pesquisa. Cada método tem suas particularidades e é importante considerar os objetivos da pesquisa, os recursos disponíveis e as características da população-alvo ao fazer essa escolha. Ao selecionar o método de amostragem mais apropriado, você pode garantir que sua pesquisa seja representativa e forneça insights valiosos e precisos.
Painel online de consumidores. Insights para seus projetos
4. Determine o Tamanho da Amostra em Pesquisa com respondentes
Determinar o tamanho da amostra é uma etapa crucial no planejamento de uma pesquisa, pois impacta diretamente a precisão e a representatividade dos resultados. Um tamanho de amostra adequado garante que os dados coletados sejam suficientes para fazer inferências sobre a população-alvo, minimizando erros da amostra e vieses. Vamos explorar como determinar o tamanho da amostra de forma eficaz.
4.1. Compreenda os Conceitos Básicos
Antes de determinar o tamanho da amostra, é importante compreender alguns conceitos estatísticos básicos:
- Margem de Erro (Erro Amostral): A margem de erro indica a quantidade de erro que você pode tolerar nos resultados da pesquisa. É expressa como uma porcentagem e representa o intervalo dentro do qual os resultados da amostra se aproximam dos valores reais da população.
- Nível de Confiança: O nível de confiança indica a probabilidade de que os resultados da pesquisa estejam dentro da margem de erro especificada. É geralmente expresso como uma porcentagem (e.g., 95% ou 99%).
- Variabilidade: Refere-se à distribuição das respostas na população. Quanto maior a variabilidade, maior deverá ser o tamanho da amostra para obter resultados precisos.
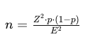
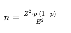
4.2. Use Fórmulas Estatísticas
A fórmula básica para calcular o tamanho da amostra é:
Onde:
- n = tamanho da amostra
- Z = valor z correspondente ao nível de confiança desejado (e.g., 1.96 para 95%)
- p = proporção estimada da população (se não conhecida, usar 0.5 para máxima variabilidade)
- E = margem de erro
Para populações finitas, a fórmula ajustada é:
Onde:
- ′n′ = tamanho da amostra ajustado para a população finita
- N = tamanho total da população
4.3. Considere a População Total nas Pesquisa com amostra de respondentes
Se a população total (N) for pequena, é possível ajustar o tamanho da amostra para refletir isso. Em geral, quanto menor a população, menor a amostra necessária para alcançar o mesmo nível de precisão.
4.4. Utilize Calculadoras de Tamanho de Amostra
Há diversas calculadoras online que podem ajudar a determinar o tamanho da amostra com base nos parâmetros específicos da sua pesquisa. Essas ferramentas são úteis para simplificar os cálculos e garantir precisão.
4.5. Avalie a Variabilidade dos Dados
Se você tem dados históricos ou pesquisas anteriores sobre a população-alvo, utilize essa informação para estimar a variabilidade (p). Quanto mais precisa for a estimativa da variabilidade, mais preciso será o cálculo do tamanho da amostra.
4.6. Balanceie Recursos e Precisão nas Pesquisa com amostra de respondentes
Embora um tamanho de amostra maior aumente a precisão dos resultados, também implica em maiores custos e tempo. É essencial balancear a necessidade de precisão com os recursos disponíveis. Em muitos casos, uma amostra ligeiramente menor pode ser adequada se os recursos são limitados.
4.7. Considere a Taxa de Resposta
A taxa de resposta esperada deve ser considerada ao determinar o tamanho da amostra. Se a taxa de resposta prevista é baixa, você pode precisar aumentar o tamanho da amostra inicial para garantir que o número final de respondentes seja suficiente.
Exemplo PráticoImagine que você está realizando uma pesquisa para medir a satisfação dos clientes de uma loja de varejo. Você definiu o seguinte:
Portanto, você precisaria de uma amostra de aproximadamente 370 clientes para obter resultados precisos dentro da margem de erro de 5% com um nível de confiança de 95%. |
Determinar o tamanho da amostra é um passo fundamental para garantir a validade e a precisão dos resultados da pesquisa. Compreender os conceitos básicos de margem de erro, nível de confiança e variabilidade, além de usar ferramentas estatísticas adequadas, permite calcular um tamanho de amostra que equilibre precisão e recursos disponíveis. Lembre-se de ajustar para a população total e considerar a taxa de resposta esperada para garantir que os resultados sejam representativos e acionáveis.
Como montar uma pesquisa eficiente em painéis online
5. Coleta de Dados na Pesquisa com amostra de respondentes
A coleta de dados é uma etapa crucial na condução de uma pesquisa, pois é o momento em que se obtêm as informações necessárias para analisar e responder às questões de pesquisa. A precisão e a relevância dos dados coletados são fundamentais para garantir que os resultados sejam válidos e úteis. A seguir, detalharemos como realizar a coleta de dados de forma eficaz em uma pesquisa com amostra de respondentes.
5.1. Escolha do Método de Coleta de Dados
O primeiro passo é escolher o método de coleta de dados mais adequado para a sua pesquisa. Cada método tem suas vantagens e desvantagens, e a escolha depende do objetivo da pesquisa, do tipo de dados que você precisa coletar e dos recursos disponíveis. Aqui estão alguns métodos comuns:
- Questionários Online: Rápidos e econômicos, permitem alcançar um grande número de respondentes. No entanto, dependem do acesso à internet e podem ter taxas de resposta variáveis.
- Entrevistas Telefônicas: Permitem coleta de dados detalhada e imediata. Contudo, podem ser caras e demorar para cobrir uma amostra grande.
- Entrevistas Presenciais: Oferecem dados ricos e detalhados, mas são caras e demoradas.
- Pesquisas por Correio: Úteis para alcançar populações sem acesso à internet, mas tendem a ter baixas taxas de resposta e são lentas.
- Grupos Focais: Permitem discussões detalhadas sobre tópicos específicos, mas têm um alcance limitado e podem introduzir viés de grupo.
5.2. Desenvolvimento do Instrumento de Coleta
O instrumento de coleta de dados (questionário, roteiro de entrevista, etc.) deve ser cuidadosamente elaborado para garantir que as informações coletadas sejam válidas e confiáveis. Considere os seguintes aspectos:
- Clareza das Perguntas: Use linguagem simples e direta. Evite termos técnicos ou jargões que possam confundir os respondentes.
- Tipo de Perguntas: Inclua uma combinação de perguntas fechadas (para respostas objetivas) e abertas (para respostas detalhadas). Perguntas fechadas são mais fáceis de analisar, enquanto perguntas abertas fornecem insights qualitativos.
- Ordem das Perguntas: Estruture o questionário de maneira lógica, começando com perguntas mais gerais e progressivamente indo para questões mais específicas.
- Teste Piloto: Realize um teste piloto com uma pequena parte da amostra para identificar e corrigir problemas no questionário antes da coleta em larga escala.
5.3. Garantir a Confidencialidade e Ética
A confidencialidade dos respondentes deve ser garantida para obter respostas honestas e proteger a privacidade dos participantes. Informe claramente aos respondentes sobre o propósito da pesquisa, como seus dados serão usados e assegure que suas respostas serão confidenciais.
- Consentimento Informado: Obtenha consentimento informado de todos os participantes, explicando o objetivo da pesquisa, o uso dos dados e garantindo a confidencialidade.
- Anonimato: Sempre que possível, mantenha o anonimato dos respondentes para aumentar a honestidade das respostas.
5.4. Treinamento da Equipe de Coleta
Se a coleta de dados for realizada por uma equipe, é essencial que todos os membros sejam bem treinados. Isso garante a consistência na aplicação do instrumento de coleta e a qualidade dos dados coletados.
- Instruções Claras: Forneça instruções claras sobre como aplicar o questionário ou conduzir entrevistas.
- Simulações: Realize simulações de coleta de dados para praticar e resolver dúvidas.
5.5. Monitoramento da Coleta de Dados
Durante o processo de coleta, monitore regularmente o progresso para garantir que está de acordo com o planejado. Verifique a qualidade dos dados coletados e faça ajustes se necessário.
- Verificação de Dados: Revise periodicamente os dados coletados para identificar e corrigir inconsistências ou erros.
- Feedback Contínuo: Mantenha uma comunicação contínua com a equipe de coleta para resolver problemas em tempo real.
5.6. Maximização da Taxa de Resposta
Para obter uma amostra representativa, é importante maximizar a taxa de resposta. Algumas estratégias incluem:
- Incentivos: Ofereça incentivos, como prêmios ou recompensas, para motivar a participação.
- Lembretes: Envie lembretes amigáveis para os respondentes que ainda não completaram a pesquisa.
- Flexibilidade: Ofereça diferentes opções de resposta (online, por telefone, pessoalmente) para aumentar a conveniência dos participantes.
Exemplo PráticoImagine que você está conduzindo uma pesquisa para avaliar a satisfação dos clientes de um serviço de streaming. Veja como você pode aplicar os passos mencionados: Método de Coleta: Questionários online enviados por e-mail aos assinantes. Desenvolvimento do Questionário:
Confidencialidade e Ética: Explicação clara no início do questionário sobre o uso dos dados e garantia de anonimato. Treinamento da Equipe: Equipe treinada para lidar com dúvidas técnicas e garantir a consistência na coleta de dados. Monitoramento: Revisão semanal das respostas para garantir a qualidade e resolver problemas. Maximização da Taxa de Resposta: Envio de lembretes semanais e oferta de um mês grátis de assinatura como incentivo. |
A coleta de dados é uma etapa vital em qualquer pesquisa com amostras de respondentes. Escolher o método adequado, desenvolver um instrumento de coleta eficaz, garantir a confidencialidade e ética, treinar a equipe de coleta, monitorar o processo e maximizar a taxa de resposta são passos fundamentais para garantir a qualidade e a representatividade dos dados coletados. Ao seguir essas práticas, você pode obter informações valiosas e precisas para responder às questões de pesquisa e tomar decisões informadas.
6. Análise dos Dados em Pesquisa com amostra de respondentes
A análise dos dados é uma etapa crucial que transforma as informações coletadas em insights significativos. Uma análise bem-executada pode revelar padrões, tendências e relacionamentos importantes, ajudando a responder às questões de pesquisa e a tomar decisões informadas. Aqui está um guia detalhado sobre como conduzir a análise de dados em uma pesquisa com amostra de respondentes.
6.1. Preparação dos Dados para Pesquisa com amostra de respondentes
Antes de iniciar a análise, é necessário preparar os dados para garantir que eles sejam precisos e consistentes.
1. Limpeza dos Dados:
- Remoção de Duplicatas: Verifique se há respostas duplicadas e remova-as.
- Tratamento de Dados Faltantes: Decida como lidar com dados faltantes. Opções incluem a exclusão de respostas incompletas ou a imputação de valores substitutos.
- Correção de Erros: Identifique e corrija erros de digitação ou inconsistências nos dados.
2. Codificação de Dados:
- Transformação de Dados Qualitativos: Converta respostas abertas em categorias codificáveis para facilitar a análise quantitativa.
- Atribuição de Códigos Numéricos: Atribua códigos numéricos a respostas categóricas (e.g., 1 para “Sim”, 2 para “Não”) para simplificar a análise.
6.2. Escolha das Técnicas de Análise
A escolha das técnicas de análise depende dos tipos de dados coletados e das questões de pesquisa. As principais técnicas incluem:
1. Análise Descritiva:
- Médias e Medianas: Calcula medidas de tendência central para resumir dados numéricos.
- Desvios-Padrão e Intervalos: Mede a dispersão dos dados.
- Distribuições de Frequência: Mostra a frequência de cada resposta em dados categóricos.
2. Análise Inferencial:
- Testes de Hipóteses: Testa hipóteses sobre a população com base na amostra (e.g., testes t, ANOVA).
- Intervalos de Confiança: Estima o intervalo dentro do qual um parâmetro populacional deve cair.
- Regressão e Correlação: Analisa a relação entre variáveis (e.g., regressão linear, correlação de Pearson).
3. Análise Qualitativa:
- Codificação Temática: Identifica temas ou padrões em dados qualitativos.
- Análise de Conteúdo: Quantifica a presença de certas palavras, temas ou conceitos.
6.3. Uso de Software de Análise em Pesquisa com amostra de respondentes
O uso de software especializado pode facilitar e agilizar a análise de dados. Alguns dos softwares mais comuns incluem:
- SPSS: Amplamente utilizado para análises estatísticas complexas.
- R e Python: Poderosas ferramentas de código aberto para análises estatísticas e gráficas.
- Excel: Útil para análises descritivas e gráficos básicos.
- NVivo: Ideal para análise de dados qualitativos.
6.4. Interpretação dos Resultados
A interpretação dos resultados é onde você transforma números e estatísticas em insights acionáveis.
1. Comparação com Hipóteses:
- Compare os resultados obtidos com as hipóteses estabelecidas no início da pesquisa.
- Determine se os resultados suportam ou refutam as hipóteses.
2. Identificação de Padrões:
- Procure padrões e tendências que possam fornecer insights sobre o comportamento ou opiniões dos respondentes.
- Utilize gráficos e tabelas para visualizar os dados e facilitar a identificação de padrões.
3. Consideração do Contexto:
- Interprete os resultados dentro do contexto da pesquisa e das características da população-alvo.
- Considere fatores externos que possam ter influenciado os resultados.
6.5. Relato dos Resultados das Pesquisa com amostra de respondentes
A comunicação clara dos resultados é essencial para garantir que os insights sejam compreendidos e utilizados.
1. Relatórios Escrito:
- Prepare um relatório detalhado que inclua a metodologia, resultados e interpretação dos dados.
- Use tabelas, gráficos e figuras para ilustrar os principais achados.
2. Apresentações:
- Desenvolva apresentações visuais para comunicar os resultados a partes interessadas.
- Destaque os principais insights e recomendações de forma concisa e visualmente atraente.
3. Publicações:
- Se os resultados forem relevantes para um público mais amplo, considere a publicação em revistas acadêmicas ou relatórios de mercado.
Exemplo PráticoImagine que você conduziu uma pesquisa sobre a satisfação dos clientes com um serviço de streaming. Aqui está como você poderia aplicar as etapas de análise de dados: Preparação dos Dados:
Análise Descritiva:
Análise Inferencial:
Interpretação:
Relato:
|
A análise dos dados é uma etapa essencial para transformar dados brutos em insights valiosos. Seguindo as etapas de preparação, escolha de técnicas de análise, uso de software adequado, interpretação cuidadosa dos resultados e comunicação clara, você pode garantir que sua pesquisa forneça informações precisas e acionáveis. A análise bem-executada não só responde às questões de pesquisa, mas também orienta decisões estratégicas e melhorias no futuro.
7. Relate os Resultados da Pesquisa com amostra de respondentes
Relatar os resultados de uma pesquisa é a etapa final, mas crucial, de qualquer estudo. É nesse momento que os dados coletados e analisados são transformados em informações acionáveis e comunicadas aos interessados. Um relatório bem-estruturado ajuda a garantir que os resultados sejam compreendidos e utilizados de forma eficaz. A seguir, detalhamos como elaborar um relatório de pesquisa abrangente e impactante.
7.1. Estrutura do Relatório das Pesquisa com amostra de respondentes
A estrutura de um relatório de pesquisa deve ser clara e lógica, facilitando a compreensão dos resultados e das conclusões. Uma estrutura típica inclui:
1. Introdução:
- Contexto da Pesquisa: Explique o motivo e a importância do estudo.
- Objetivos: Defina os objetivos específicos da pesquisa.
- Questões de Pesquisa: Liste as principais questões ou hipóteses investigadas.
2. Metodologia:
- População-Alvo: Descreva a população-alvo e como foi selecionada.
- Amostragem: Detalhe o método de amostragem e o tamanho da amostra.
- Coleta de Dados: Explique os métodos usados para coletar os dados.
- Instrumento de Pesquisa: Inclua uma descrição do questionário ou das ferramentas utilizadas.
3. Resultados:
- Análise Descritiva: Apresente os dados descritivos, como médias, medianas e distribuições de frequência.
- Análise Inferencial: Descreva os resultados de testes estatísticos, como testes t, ANOVA, correlações ou regressões.
- Achados Principais: Destaque os principais achados e padrões identificados.
4. Discussão:
- Interpretação dos Resultados: Explique o que os resultados significam em relação às questões de pesquisa e aos objetivos.
- Comparação com Estudos Anteriores: Compare seus resultados com os de pesquisas anteriores, se aplicável.
- Implicações Práticas: Discuta as implicações práticas dos resultados para a área de estudo ou para a organização.
5. Conclusão:
- Resumo dos Achados: Forneça um resumo conciso dos achados mais importantes.
- Recomendações: Ofereça recomendações baseadas nos resultados da pesquisa.
- Limitações: Reconheça as limitações do estudo e sugira áreas para pesquisas futuras.
6. Anexos:
- Instrumento de Pesquisa: Inclua o questionário ou roteiro de entrevista.
- Dados Brutos: Se relevante, inclua tabelas de dados brutos.
- Referências: Liste todas as fontes citadas no relatório.
7.2. Apresentação dos Resultados das Pesquisa com amostra de respondentes
A forma como os resultados são apresentados pode influenciar significativamente sua compreensão e impacto. Utilize uma combinação de texto, tabelas e gráficos para tornar os resultados claros e visualmente atraentes.
1. Tabelas:
- Use tabelas para apresentar dados detalhados, como respostas a perguntas fechadas.
- Certifique-se de que as tabelas são rotuladas claramente e incluem todas as informações necessárias para serem compreendidas de forma independente.
2. Gráficos:
- Use gráficos (barras, setores, linhas) para visualizar dados de maneira intuitiva.
- Escolha o tipo de gráfico adequado para o tipo de dado (e.g., gráfico de barras para comparações, gráfico de setores para distribuições percentuais).
3. Texto:
- Descreva os resultados principais em texto, destacando os achados mais relevantes.
- Utilize bullet points para resumir pontos chave e facilitar a leitura.
7.3. Comunicação dos Resultados das Pesquisa com amostra de respondentes
Além do relatório escrito, é importante comunicar os resultados de maneira eficaz a todas as partes interessadas. Considere as seguintes estratégias:
1. Apresentações:
- Prepare apresentações visuais usando ferramentas como PowerPoint ou Keynote.
- Destaque os principais achados, gráficos e tabelas.
- Pratique a apresentação para garantir clareza e confiança na entrega.
2. Resumo Executivo:
- Crie um resumo executivo, especialmente para stakeholders que necessitam de uma visão geral rápida.
- Inclua os principais achados, conclusões e recomendações de forma concisa.
3. Workshops e Reuniões:
- Organize workshops ou reuniões para discutir os resultados e suas implicações com a equipe ou clientes.
- Utilize esses momentos para responder perguntas e receber feedback.
Exemplo PráticoImagine que você conduziu uma pesquisa para avaliar a satisfação dos clientes com um serviço de streaming de música. Veja como relatar os resultados: Introdução:
Metodologia:
Resultados:
Discussão:
Conclusão:
Apresentação e Comunicação:
|
Relatar os resultados da pesquisa é um passo vital para garantir que os dados coletados e analisados sejam utilizados de forma eficaz. Uma estrutura clara, uma apresentação visualmente atraente e uma comunicação eficaz são essenciais para transmitir os insights de maneira que possam ser compreendidos e acionados por todos os interessados. Seguindo essas diretrizes, você pode garantir que sua pesquisa tenha um impacto significativo e informativo.
Veja: 5 fatores importantes ao contratar pesquisa de mercado
Realizar uma pesquisa com amostras de respondentes é uma tarefa complexa que exige planejamento cuidadoso e atenção aos detalhes. Ao seguir os passos descritos acima, você pode aumentar significativamente a probabilidade de obter resultados precisos e úteis. Lembre-se sempre de definir claramente seu objetivo, conhecer sua população-alvo, escolher o método de amostragem adequado e analisar os dados com rigor. Assim, sua pesquisa terá um impacto significativo, fornecendo insights valiosos para tomada de decisões informadas.
Necessitando de uma pesquisa com amostra em painel online? Conte com a Painel TAP.
Por trás da Painel TAP está um pessoal apaixonado por dados e geração de insights, que encontra em cada projeto um desafio em buscar a melhor e mais rápida solução para os mais diversos tipos de necessidades e demandas em pesquisas online e investigação de mercado.








